SMF20A单向瞬态抑制二极管的卓越性能:掌握关键规格参数
产品名称:SMF20A单向TVS瞬态抑制二极管
生产商:SUNMATE/森美特
产品简介:
TVS瞬态抑制二极管(Transient Voltage Suppressor)是一种用于保护电子设备免受瞬态电压冲击的器件。SMF20A是一款单向TVS瞬态抑制二极管,具有高效能、体积小、功率大、响应快等优点。它可以广泛应用于各种电子设备中,如计算机、通讯设备、家用电器等,用于保护设备免受雷击、电源浪涌等瞬态电压的冲击。
产品特性:
单向性:只允许电流在一个方向流动,有效防止反向电流的冲击。
双向性:正反两个方向均具有相同的雪崩击穿特征和钳位特性。
高效率:可快速吸收和抑制瞬态电压,降低电子设备损坏的风险。
体积小:占用空间小,便于集成到各种大小的电路中。
功率大:能承受较大的瞬态电流,保证设备的正常运行。
响应速度快:能在瞬态电压出现时迅速响应,及时抑制电压的波动。
可靠性高:经过严格的质量控制和测试,确保产品的可靠性和稳定性。
广泛的适用范围:适用于各种电子设备和电路,如电源、信号线、接口等。
长寿命:在正常工作条件下,可以保证较长的使用寿命。
技术参数:
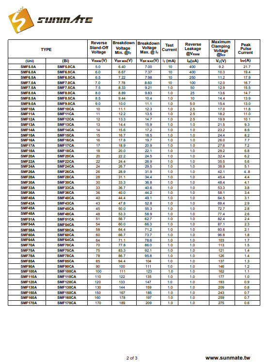
VRWM(V):20V - 最大反向工作电压。
最大箝位电压@IPP(V):32.4V - 在额定峰值脉冲电流下的最大电压值。
峰值脉冲电流IPP(A):6.2A - 在额定VRWM下的最大瞬态电流。
最大反向电流IR(uA):1uA - 在最大反向工作电压下的反向电流值。
消散功率(W):200W - 器件可以承受的最大功率。
封装形式:SOD-123FL产品封装类型。
包装数量:3K装 - 每包装包含的产品数量。
存储温度:-55℃ to +150℃ - 产品存储的适宜温度范围。
安置类型:SMT - 产品适合的安置类型(表面贴装技术)。



应用:适用于表面安装应用,具有低外形封装、低增量浪涌电阻和出色的夹紧能力等特点。
高温焊接保证:260℃/10秒 - 产品的高温焊接保证条件。
总之,SMF20A单向TVS瞬态抑制二极管是一款高效能、高可靠性的电子保护器件,具有广泛的应用前景。