在一种神奇的晶体里,电子和它的孪生镜像——空穴,在强大磁场的撮合下不仅成功牵手,还组成了一个绝 缘小分队,这个小分队不会导电,但却能以一种特别的方式传递自旋信息。这便是自旋三重态。
最近,刘金雨和所在团队在一种名为五碲化铪的材料中,首次在超强磁场下观察到了这种自旋三重态激子绝缘体,能为未来研发速度更快、能耗更低的自旋电子器件比如不发热的计算机芯片打开一扇崭新的大门。

(来源:https://doi.org/10.1103/bj2n-4k2w)
一场发生在微观世界的材料相遇
在材料世界里,电子就像一个个带有负电的小精灵, 而空穴则是它们离开后带正电的空座位。通常情况下,带相反电荷的电子和空穴会互相吸引,如果它们牵手成功,就会形成一个叫做激子的配对。
但这次的发现格外特别。在普通的激子中,电子和空穴的自旋方向(等效电子自旋而言)是相同的,对于自旋可以将其粗略理解为粒子的小磁针方向,这种配对叫做单重态。
而这次,刘金雨等人在超强磁场的帮助下,成功促成了自旋反向相反的电子和空穴的牵手,形成了三重态激子。这就像让两个旋转方向完全相反的小陀螺牢牢结合在一起一样,难度很大也很罕见。
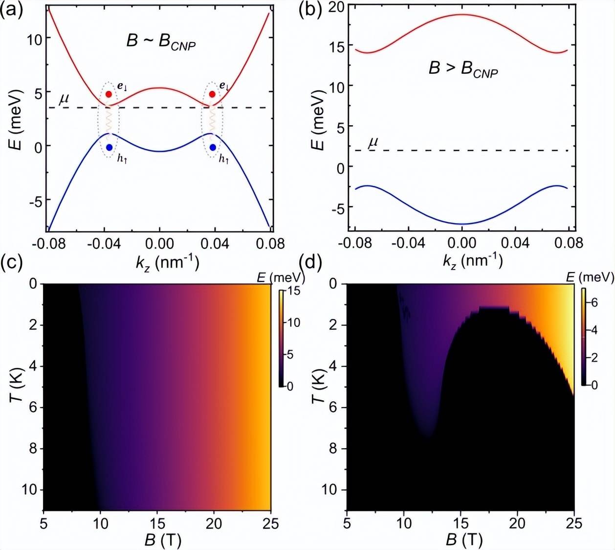
五碲化铪是一种拓扑材料,其内部结构好像一个迷宫。这个迷宫的特殊之处在于,它的导电性质非常敏感, 很容易被外部条件改变。
刘金雨等人把这个晶体放在极低温和超强磁场的极端环境中。当磁场强大到一定程度的时候,晶体内部电子门的运动会被严格限制,几乎只能沿着磁场方向排成一列行进。在这种状态之下,系统的行为发生了巨变。
随着磁场的继续增强,代表电子和空穴的两条关键能带,因为自旋被磁场极化的员工,开始彼此靠近最终交叉在一起,形成一个被称为一维外尔模式的状态。
他告诉 DeepTech:“总的来说,我们首次在拓扑材 料中,通过实验实现了自旋三重态激子绝缘体。此外,虽然存在其他材料体系的理论预言,但尚未被实验证实。同时,我们首次在实验上证实了基于第零级朗道能级可以形成自旋三重态激子绝缘体。”

(来源:https://doi.org/10.1103/bj2n-4k2w)
绝缘的真相:不是堵塞,而是完美的平衡
就在上述相遇的位置,此次研究发现材料的电阻在某个临界磁场之上突然开始急剧上升,这意味着它从金属变成了绝缘体,电流很难通过。但是奇怪的是,同时测量的霍尔信号却变成了零。
这通常意味着材料里既没有多余的电子,也没有多余的空穴,正负电荷达到了完美平衡,整体呈现出电中性。这就引出了一个核心问题:是什么导致了这种绝缘态?
这不仅仅是电子耗尽了,材料应该是不导电的,但是霍尔信号不会恰好为零。这种同时满足绝缘和电荷完美平衡的状态,强烈暗示着电子和空穴并没有消失或者耗尽,而是彼此束缚在了一起,形成了整体呈现出电中性的激子。它们就像一对对牢牢牵手的伙伴,虽然各自都带电,但是作为一个整体对外不显示电性,也不再通过自由移动去导电。
计算结果和模拟结果也支持了这一猜想,打开的这个绝缘能隙大约有 250 微电子伏特,正是一对自旋相反的三重态激子配对形成所需的能领。

(来源:https://doi.org/10.1103/bj2n-4k2w)
为什么是三重态?有何厉害之处?
与常见的单重态激子不同的是,这次发现的三重态激子有一些独特优势:首先是能够保持平移对称性,它们的形成不会破坏晶体结构的周期性,这意味着状态可能更加稳定和更加均匀;其次是与磁场兼容性更好,自旋三重态配对在高磁场之下可能比单重态更加稳定,这为在强场环境下的应用提供了可能;再次是承载自旋流,由于配对双方自旋相反,因此这种激子态可以携带和传输纯的自旋角动量,而不会伴随净电荷的流动。
电流是电荷的定向流动,会产生热量。这就是手机和电脑会发热和耗能的原因。那么,是否只传递信息的指令也就是自旋,而不搬运电荷本身,从而避免发热和能量损耗?
本次自旋三重态激子绝缘体的发现,让这个设想走进 了一步。它的性质是构建未来超低功耗自旋电子器件、甚至用于量子计算的潜在基础元件所梦寐以求的。

图 | 刘金雨(来源:刘金雨)
刘金雨表示:“基于本次成果,我们后续的研究计划将集中在器件制备上。目前,我们已经能够将该材料减薄到 10 纳米至几十纳米的厚度,并尝试制备门电压可调的器件,旨在从二维极限下探测相关的激子绝缘体或其他量子输运现象。”
其继续说道:鉴于不少理论预言的材料体系在零磁场下就是自旋三重态的激子绝缘体,如果能确证该非凡量子物态无需外加磁场即可在真实材料中自发、稳定存在,无疑将是一项突破性且更具有应用前景的实验进展。结合我的研究背景,我亦矢志投身于此方向的研究。
参考资料:
相关论文 https://doi.org/10.1103/bj2n-4k2w
运营/排版:何晨龙